Vejledning om indplacering af lastbiler i CO2-emissionsklasser

Version 1.4.1

Fra den 1. januar 2025 skal der jf. § 5 i vejafgiftsloven betales afgift for lastbiler og køretøjskombinationer efter de CO2-emissionsklasser, der følger af EU-direktivet om afgifter på køretøjer for benyttelse af vejinfrastrukturer (eurovignetdirektivet).

Denne vejledning indeholder en beskrivelse af reglerne for indplacering af lastbiler i CO2-emissionsklasser. CO2-emissionsklasser for lastbiler i EU blev indført i 2022 som en del af ændringen af eurovignetdirektivet

Vejledningen henvender sig bredt til aktørerne inden for vejgodstransporten i Danmark. Vejledningen er alene udtryk for Færdselsstyrelsens fortolkning af reglerne og er baseret på relevante fortolkningsbidrag fra øvrige involverede styrelser.

Den endelige fortolkning af reglerne hører under domstolene. Færdselsstyrelsen er ikke ansvarlig for hvorledes andre myndigheder og medlemslande fortolker reglerne, hvorfor det er er læserens eget ansvar at holde sig orienteret.

Relevant lovgivning

Indhold

1. Hvad er en CO2-emissionklasse?

Med ændringen af eurovignetdirektivet i 2022 påtog EU-medlemsstaterne sig ansvaret for at inddele deres lastbilflåder i fem CO2-emissionsklasser på baggrund af en teoretisk beregnet klimabelastning fra lastbilens energiforbrug under drift, også kaldet Tank-to-Wheel (fra tank til hjul). Det vil sige energiforbruget i lastbilen uden den CO2-udledning, som stammer fra fremstilling af drivmidlet (diesel, gas, el, brint mv.).

De fem CO2-emissionklasser blev med direktivet nummereret fra 1 til 5. Klimabelastningen fra lastbilens drift er størst i CO2-emissionsklasse 1, mens klimabelastningen fra driften af en lastbil i CO2-emissionsklasse 5 principielt er nul. Alle lastbiler kan indplaceres i en af de fem CO2-emissionklasser.

Med ændringen af eurovignetdirektivet påtog medlemsstaterne sig tillige ansvaret for, at afgiftssatserne i vejafgiftsordninger på deres vejnet afspejler lastbiltrafikkens klimabelastning. Medlemsstaterne skal indplacere konventionelle lastbiler med forbrændingsmotor i CO2-emissionsklasserne 1, 2 og 3. Lastbiler, som lever op til kriterierne for at være ”lavemissionslastbiler”, skal indplaceres i CO2-emissionsklasse 4, mens lastbiler, som lever op til kriterierne for at være ”nulemissionslastbiler”, skal indplaceres i CO2-emissionsklasse 5.

2. VECTO – simulationssoftware til beregning af CO2-udledning

Indplaceringen af konventionelle lastbiler med forbrændingsmotorer i CO2-emissionklasserne foretages på baggrund af lastbilens beregnede CO2-udledning under drift. Beregningen foretages med VECTO, som er et simuleringsværktøj, der er udviklet af Europa-Kommissionen og bruges til at bestemme CO2-emissioner og teoretisk brændstofforbrug fra tunge køretøjer (lastbiler og busser) med en totalvægt på over 3.500 kg. VECTO anvender fem forskellige missionsprofiler (kørecyklusser) for lastbiler og fem forskellige missionsprofiler for busser, som er blevet udviklet og implementeret i værktøjet for at afspejle den europæiske køretøjsflådes kørselsmønstre.

For at tildele de forskellige køretøjstyper den relevante missionsprofil (kørecyklus), opdeles lastbiler over 3.500 kg totalvægt i en række køretøjsgrupper (afhængig af lastbiltypen) og en række undergrupper (afhængig af deres typiske anvendelse). VECTO simulerer køretøjernes brændstofforbrug og opgør lastbilens CO2-udledning under drift i gram pr. tonkilometer. VECTO opgør ikke lastbilens CO2-udledning ved hjælp af en måling, men en teoretisk beregning ud fra konkrete data om rullemodstand, luftmodstand, masse og inerti, friktion i gearkassen, motorydelse mv.

3. Køretøjsgrupper og undergrupper

For at indplacere et køretøj i en CO2-emissionsklasse, skal køretøjets beregnede CO2-udledning i gram pr. tonkilometer holdes op mod en CO2-referenceværdi (CO2-referenceemission) for køretøjsundergruppen, som fastsættes af Europa-Kommissionen i en gennemførelsesretsakt - se bilag 2

I forbindelse med vejafgiften, anvendes pr. 1. januar 2025 en række køretøjsgrupper og undergrupper til at etablere CO2-referenceværdien for de forskellige køretøjstyper. Europa-Kommissionen har foreløbig fastsat CO2-referenceværdier for nedenstående køretøjstyper.

  1. lastbiler med 4×2 akselkonfiguration og teknisk totalvægt på over 16 ton (køretøjsgruppe 4)
  2. lastbiler med 6×2 akselkonfiguration (køretøjsgruppe 9)
  3. sættevognstrækkere med 4×2 akselkonfiguration og teknisk totalvægt over 16 ton (køretøjsgruppe 5) og
  4. sættevognstrækkere med en 6×2 akselkonfiguration (køretøjsgruppe 10). 

Ovenstående køretøjstyper omfatter ca. trefjerdedele af de danske lastbiler, der er omfattet af vejafgiften. Øvrige køretøjstyper indplaceres alene efter deres drivkraft (CO2-emissionsklasse 5 for nulemissionskøretøjer og CO2-emissionsklasse 1 for øvrige køretøjer), da der endnu ikke er fastlagt kørselsprofil og CO2-referenceværdier for disse. Der vil løbende blive fastsat præstationsnormer for yderligere køretøjsgrupper.

Køretøjerne henføres derudover til en undergruppe, som er defineret i Forordning (EU) 2019/1242, bilag I, i forhold til deres vægt, førerhustype og motoreffekt samt ud fra deres opgaveprofil: by-, regional- og langturskørsel. VECTO-softwaren udbygges løbende og kommer på sigt også til at omfatte køretøjer til for eksempel bygge- og anlægskørsel, renovationskørsel.

Tabel 1: Aktuelle køretøjsundergrupper (i forhold til vejafgiften) pr. 1. januar 2024

Tunge køretøjer

 

Kabinetype

 

Motoreffekt

Undergruppe af køretøjer (sg)

Lastbiler med 4 × 2-akselkonfiguration

>16 ton

 

Alle

< 170 kW

4-UD

Dagkabine

≥ 170 kW


4-RD

Sovekabine

≥ 170 kW og < 265 kW

Sovekabine

≥ 265 kW

4-LH

Lastbiler med 6 × 2-akselkonfiguration

 

Dagkabine


Alle

9-RD

Sovekabine

9-LH

Sættevognstrækkere med 4 × 2-akselkonfiguration

>16 ton

 

Dagkabine

Alle


5-RD

Sovekabine

< 265 kW

Sovekabine

≥ 265 kW

5-LH

Sættevognstrækkere med 6 × 2-akselkonfiguration

 

Dagkabine


Alle

10-RD

Sovekabine

10-LH

For detaljeret overblik over alle køretøjsgrupper og køretøjsundergrupper henvises til forordning (EU) 2017/2400, bilag I og forordning (EU) 2019/1242, bilag I.

Det har siden den 1. januar 2019 været obligatorisk for producenterne at gennemføre VECTO-beregninger for de mest almindelige typer af nye lastbiler (køretøjsgruppe 4, 5, 9 og 10).

Ud fra VECTO-beregningen og køretøjets første registreringsdato kan medlemsstaten indplacere lastbiler med forbrændingsmotor i CO2-emissionsklasse 1, 2, 3 eller 4. Lastbiler med forbrændingsmotor, der ikke har en VECTO-beregning, eller for hvilke der ikke er fastlagt en CO2-referenceemission, skal medlemsstaterne indplacere i CO2-emissionsklasse 1.

Kravene til indplacering i CO2-emissionsklasserne bliver strammet over tid. Den første indplacering af lastbilen i en emissionsklasse er dog gyldig, indtil der er gået 6 år fra den første registrering af køretøjet. Medlemsstaten er ansvarlig for, at der sker en reklassificering af lastbilens CO2-emissionsklasse 6 år efter første registrering.

4. Hvilke data anvendes til at indplacere lastbilen i CO2-emissionsklasserne?

Køretøjsfabrikanterne er, i henhold til forordning (EU) 2017/2400, forpligtet til at fastsætte CO2-emissionerne og brændstofforbruget for nye lastbiler ved hjælp af simuleringsværktøjet VECTO. I forbindelse med simulationen skal fabrikanten udarbejde kundeoplysningsfil, som skal følge lastbilen, hvis den skal registreres, sælges eller ibrugtages i EU.

EU-retten stiller ikke krav om, at lastbilens CO2-emissionsklasse skal fremgå af registreringsattesten eller kundeoplysningsfilen, som nogle steder også betegnes som CO2-deklarationsdokument eller kundeinformationsfil. Til gengæld indgår der i registreringsattesten og kundeoplysningsfilen tilsammen alle de nødvendige oplysninger, som gør det muligt at holde lastbilens beregnede CO2-emission op mod en fastlagt CO2-referenceværdi og derved bestemme lastbilens CO2-emissionsklasse

Fra registreringsattesten skal benyttes følgende data:

  • Drivkraft
  • Dato for første registrering

Fra kundeinformationsfilen skal benyttes følgende data:

  • Køretøjsundergruppe
  • Køretøjets specifikke CO2-emissioner
  • Køretøjsgruppe
  • Kabinetype
  • Motorens nominelle effekt

CO2-emissionsklassen beregnes ud fra køretøjets specifikke CO2-emissioner (kundeoplysningsfilens pkt. 2.3. eller 2.6.1.) og CO2-referenceværdien for den aktuelle køretøjsundergruppe sg (kundeoplysningsfilens pkt.1.1.5a.10 eller beregnet via kundeinformationsfilens pkt. 1.1.5., 1.1.13. og 1.2.1. (se bilag 1).

Køretøjer, der ligger 5% under CO2-referenceværdien, indplaceres i CO2-emissionsklasse 2. Køretøjer, der ligger 8% under CO2-referenceværdien, indplaceres i CO2-emissionsklasse 3 Køretøjer, der ligger 50% under CO2-referenceværdien, indplaceres i CO2-emissionsklasse 4.

Nulemissionskøretøjer indplaceres i CO2-emissionsklasse 5, og øvrige køretøjer indplaceres i CO2-emissionsklasse 1.

Europa-Kommissionen vedtager gennemførelsesretsakter for at specificere CO2-referenceemissioner for køretøjsgrupperne, som revideres over tid. Kommissionen har udarbejdet en informationsside om vejafgifter, hvor der også findes en orienterende note med nærmere oplysninger om tærsklerne for CO2-emissionsklasser, der løber fra 1. juli til 30. juni.

Vejledninger fra Europa Kommissionen om regler vedr. vejafgifter, CO2-emissionsklasser mv.

5. Eksempler på indplacering i CO2-emissionsklasser

I det følgende fremgår konkrete eksempler på, hvordan myndighederne bestemmer CO2-emissionsklassen.

  • Eksempel 1 - CO2-emissionsklasse 5
  • Drivkraft: El (nulemission)
  • Dato for første registrering: ikke relevant
  • Køretøjsundergruppe: ikke relevant
  • Køretøjets specifikke CO2-emissioner: 0
  • Køretøjsgruppe: ikke relevant
  • Kabinetype: ikke relevant
  • Motorens nominelle effekt: ikke relevant

Bemærkning: Lastbilens CO2-emissionsklasse kan bestemmes ud fra, at køretøjet er registreret med el som drivkraft.

Eksempel 2 - CO2-emissionsklasse 3

3-akslet lastbil (6x2) – anvendelse: trækkraft for sættevogn.

  • Drivkraft: Diesel (forbrændingsmotor)
  • Dato for første registrering: 1. december 2023
  • Køretøjsundergruppe: 10-LH
  • Køretøjets specifikke CO2-emissioner: 48,1 gram pr. tonkilometer
  • Køretøjsgruppe: 10
  • Kabinetype: Sovekabine
  • Motorens nominelle effekt: 368 kW 

Indplaceringen i CO2-emissionsklasse 3 skal revurderes den 1. december 2029 (6 år efter første registrering).

Bemærkning: Ud fra køretøjsundergruppen og datoen for første registrering skal klimabelastningen ligge under 49,812 gram pr. tonkilometer for at kvalificere til CO2-emissionsklasse 2 og under 48,239 gram pr. tonkilometer for at kvalificere til CO2-emissionsklasse 3, se bilag 2.

Eksempel 3 - CO2-emissionsklasse 2

2-akslet lastbil (4x2) – anvendelse: godstransport (forvogn).

  • Drivkraft: Gas (forbrændingsmotor)
  • Dato for første registrering: 1. januar 2020
  • Køretøjsundergruppe: 4-RD (beregnet ved hjælp af køretøjsgruppe, kabinetype og motoreffekt, (se bilag 1)
  • Køretøjets specifikke CO2-emissioner: 187,1 gram pr. tonkilometer
  • Køretøjsgruppe: 4
  • Kabinetype: Dagkabine
  • Motorens nominelle effekt: 200 kW 

Indplaceringen i CO2-emissionsklasse 2 skal revurderes den 1. januar 2026 (6 år efter første registrering).

Bemærkning: Ud fra køretøjsundergruppen og datoen for første registrering skal klimabelastningen ligge under 187,302 gram pr. tonkilometer for at kvalificere til CO2-emissionsklasse 2 og under 181,387 gram pr. tonkilometer for at kvalificere til CO2-emissionsklasse 3, se bilag 2.

Eksempel 4 - CO2-emissionsklasse 1

3-akslet lastbil (6x4) – anvendelse: trækkraft for sættevogn.

  • Drivkraft: Diesel (forbrændingsmotor)
  • Dato for første registrering: 1. april 2022
  • Køretøjsundergruppe: 12-LH
  • Køretøjets specifikke CO2-emissioner: ikke relevant
  • Køretøjsgruppe: 12
  • Kabinetype: Sovekabine
  • Motorens nominelle effekt: 342 kW

Indplaceringen i CO2-emissionsklasse 1 skal revurderes den 1. april 2028 (6 år efter første registrering).

Bemærkning: Der er ikke fastlagt CO2-emissionsreferenceværdier for køretøjsundergruppe 12-LH. Køretøjet indplaceres derfor alene efter drivkraft. Ovenstående eksempler er ikke udtømmende. Det vil være for omfattende at gennemgå alle de mulige kombinationer i nærværende vejledning.

6. Motorregisterets oplysninger om danske lastbilers CO2-emissionsklasser mv.

I Danmark vil denne del af direktivændringen blive implementeret ved, at der oprettes nye felter i Motorregisteret. De nye felter består dels af datafelter, som vil indeholde oplysninger fra lastbilens kundeinformationsfil, dels af beregnede felter, hvoraf det ene angiver lastbilens CO2-emissionsklasse.

Nye datafelter i Motorregisteret

  • Tungt nul-emissions køretøj (ja/nej) (kundeoplysningsfilens pkt. 1.1.10.)
  • Køretøjsgruppe (kundeoplysningsfilens pkt. 1.1.5.)
  • Køretøjsundergruppe (kundeoplysningsfilens pkt. 1.1.5a., indeholder kundeoplysningsfilen ikke felt 1.1.5a., beregnes køretøjsundergruppen på baggrund af køretøjsgruppe, førerhustype og motorens nominelle effekt, (se bilag 1)
  • Sovekabine (ja/nej) (kundeoplysningsfilens pkt. 1.1.13.)
  • Køretøjets specifikke CO2-emission (kundeoplysningsfilens pkt. 2.3. eller 2.6.1.)
  • Gennemsnitlig nyttelastværdi (kundeoplysningsfilens pkt. 2.4. eller 2.6.3.12)
  • CO2-emissionsklasse
  • Dato for reklassificering

Bilag:

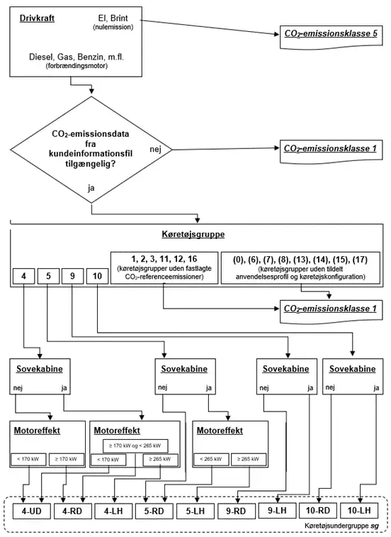
Bilag 1 – Fastlæggelse af køretøjsundergruppe og CO2-emissionsklasse (blokdiagram)

Metode til fastlæggelse af køretøjsundergruppe og CO2-emissionsklasse ud fra køretøjsgruppe, kabinetype og motoreffekt – for køretøjer med ældre kundeoplysningsfil.

Fastlæggelse af køretøjsundergruppe og CO2-emissionsklasse

Bilag 2 – CO2-referenceemissioner og CO2-emissionsklasser

CO2-referenceemissioner

CO2-referenceemissionerne for undergrupperne af køretøjer fastsættes i gennemførelsesretsakter, der vedtages i overensstemmelse med artikel 11, stk. 1, i forordning (EU) 2019/1242 (uddrag af gennemførelsesretsakt gengivet nedenfor):


Gennemførelsesafgørelse (EU) 2021/781, BILAG II:

Undergruppe sg

rCO2sg i g/tkm

4-UD

307,23

4-RD

197,16

4-LH

105,96

5-RD

84,00

5-LH

56,60

9-RD

110,98

9-LH

65,16

10-RD

83,26

10-LH

58,26

CO2-emissionsklasser

Ifølge artikel 7ga, stk. 2, i eurovignetdirektivet klassificeres CO2-emissionsklassen for køretøjer i fem niveauer:

”2. Med forbehold af stk. 1 fastsætter medlemsstaterne for hver type tungt køretøj følgende CO2-emissionsklasser:

  1. CO2-emissionsklasse 1 — køretøjer, der ikke tilhører nogen af de CO2-emissionsklasser, der er omhandlet i litra b)-e)
  2. CO2-emissionsklasse 2 — køretøjer i undergruppe af køretøjer (sg), der er registreret for første gang i rapporteringsperioden for år Y, og hvis CO2-emissioner er mere end 5 % mindre end emissionsreduktionskurven for rapporteringsperioden for år Y og undergruppe af køretøjer (sg), men som ikke tilhører nogen af de CO2- emissionsklasser, der omhandlet i litra c), d) og e)
  3. CO2-emissionsklasse 3 — køretøjer i undergruppe af køretøjer sg, der er registreret for første gang i rapporteringsperioden for år Y, og hvis CO2-emissioner er mere end 8 % mindre end emissionsreduktionskurven for rapporteringsperioden for år Y og undergruppe af køretøjer sg, som ikke tilhører nogen af de CO2- emissionsklasser, der omhandlet i litra d) og e)
  4. CO2-emissionsklasse 4 — tunge lavemissionskøretøjer
  5. CO2-emissionsklasse 5 — nulemissionskøretøjer.

Medlemsstaterne sikrer, at klassificeringen af et køretøj, der tilhører CO2-emissionsklasse 2 eller 3, revurderes hvert sjette år efter datoen for første registrering, og at køretøjet, hvor det er relevant, omklassificeres til den relevante emissionsklasse på grundlag af de tærskler, der gælder på det pågældende tidspunkt. For så vidt angår brugsafgifter, får omklassificeringen senest virkning fra den første gyldighedsdag, der falder på eller efter dagen for denne omklassificering.”

CO2-emissionsklassen for nulemissionskøretøjer fastsættes ud fra deres registrerede drivkraft, for eksempel el eller brint.

Som det fremgår af artiklen, skal CO2-emissionsklassen revurderes hver sjette år efter første registrering.

Tærskler for CO2-emissionsklasser pr. år i gram CO2 pr. tonkilometer (g/tkm) for køretøjsundergrupperne (sg), i henhold til Europa-Parlamentets og Rådets direktiv 1999/62/EF af 17. juni 1999 om afgifter på tunge godskøretøjer for benyttelse af visse infrastrukturer (kilde: DG Move).

Bemærk: skilledato er pr. 1. juli for alle år. Dvs. kolonne 1 (2019) gælder fra den 1. juli 2019 til den 30. juni 2020 osv.

Køretøjsundergruppe: 4-UD

Køretøjsundergruppe: 4-RD

Køretøjsundergruppe: 4-LH

Køretøjsundergruppe: 5-RD

Køretøjsundergruppe: 5-LH

Køretøjsundergruppe: 9-RD

Køretøjsundergruppe: 9-LH

Køretøjsundergruppe: 10-RD

Køretøjsundergruppe: 10-LH

Y – Rapporteringsperiode for året Y' som defineret i punkt 36 i artikel 2(1) i direktivet.

R-ETY – Årlig CO2-emissionsreduktionsfaktor i overensstemmelse med punkt 5.1 i bilag I til forordning (EU) 2019/1242, som fastlagt i definitionen af emissionsreduktionskurven i direktivet (se ETY,sg nedenfor).

rCO2sg – Reference-CO2-emissioner for en køretøjsgruppe, som defineret i punkt 38 i artikel 2(1) i direktivet.

ETY,sg – Emissionsreduktionskurven for en køretøjsgruppe, som defineret i punkt 37 i artikel 2(1) i direktivet.

Cl. 2 and 3 thresholds – Tærskler for CO2-emissionsklasserne 2 og 3, som defineret i artikel 7ga, stk. 2, litra (b) og (c) i direktivet.

LEV – Lavemissions tungt køretøj, som defineret i punkt 30 i artikel 2, stk. 1 i direktivet.

ZEV – Nulemissionskøretøj, som defineret i punkt 29 i artikel 2, stk. 1, litra (a) i direktivet

Bilag 3 – Kundeoplysningsfil (CIF)

Køretøjsfabrikanterne er, i henhold til forordning (EU) 2017/2400, artikel 9 forpligtet til at fastsætte CO2-emissionerne og brændstofforbruget for nye lastbiler ved hjælp af simuleringsværktøjet VECTO. I forbindelse med simulationen skal fabrikanten blandt andet udarbejde kundeoplysningsfil, som skal følge lastbilen, hvis den skal registreres, sælges eller ibrugtages i EU.

Kundeoplysningsfilen en fil frembragt af simuleringsværktøjet og indeholder et defineret sæt køretøjsrelaterede oplysninger og resultaterne for CO2-emissioner og brændstofforbrug. Kundeoplysningsfilen skal udarbejdes i overensstemmelse med modellen i forordning (EU) 2017/2400 bilag IV, del II.

Oplysningerne og feltnumrene kundeoplysningsfilen er løbende ændret, ved (EU) 2019/318 af 19. februar 2019, (EU) 2020/1181 af 7. august 2020 og (EU) 2022/1379 af 5. juli 2022, se tabellen nedenfor for ændringer i de relevante feltnumre. 

 

 

 

 

 

(EU) 2017/2400
af 12. december 2017

 

(EU) 2019/318
af 19. februar 2019

 

(EU) 2020/1181
af 7. august 2020

 

(EU) 2022/1379
af 5. juli 2022

Offentliggørelse i Den Europæiske Unions Tidende (OJ)

29. december 2017

26. februar 2019

12. august 2020

12. august 2022

Ikrafttræden

 

18. januar 2018

18. marts 2019

1. september 2020

1. september 2022


Relevante felter / punktnumre i bilag IV, del II:

Køretøjsgruppe

1.1.5.

1.1.5.

1.1.5.

1.1.5.

Køretøjsundergruppe

-

-

-

1.1.5a.

Køretøjets specifikke CO2-emission

-

2.3.

2.3.

2.6.1.

Gennemsnitlig nyttelastværdi

-

2.4.

2.4.

2.6.3.

Tungt nulemissionskøretøj

-

1.1.10.

1.1.10.

1.1.10.

Sovekabine

-

1.1.13.

1.1.13.

1.1.13

Senest opdateret 17-04-2024

Indholdsfortegnelse